التركيز المولي
-
1. Définition d’une solution aqueuse :
Une solution est obtenue par dissolution d'une espèce chimique dans un liquide appelé solvant : l'espèce chimique dissoute est appelée soluté.
Dans une solution, le solvant est l'espèce chimique majoritaire et le soluté est l’espèce minoritaire.
Il y une limite à la solubilité d'une espèce chimique dans un solvant : si l'on dépasse cette limite on obtient une solution saturée.
Remarque :
Si le solvant est l'eau, la solution est appelée solution aqueuse.
2. Notion de concentration :
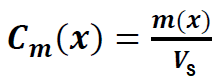
1.2. Notion de concentration massique :
On appelle, concentration massique Cm(X) le rapport entre m(X) la masse de soluté X dissous et Vs la volume totale de la solution :

La concentration mssique exprimée en g/L.
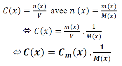
2.2. Notion de concentration molaire :
On appelle, concentration molaire C(X) en soluté apporté d’une solution aqueuse de ce soluté, le rapport entre n(X) la quantité matière de soluté dissous et Vs la volume totale de la solution

Une concentration molaire est souvent- exprimée en mol/L qui n’est pas l’unité internationale. L’unité internationale de concentration molaire est le mol/m3
-
3.2. La relation entre concentration molaire et massique :

3. Dilution d'une solution aqueuse :
-
1.3. définition :
Diluer une solution aqueuse , c'est l’ajoute de l’eau distillé à un volume donné de cette solution :
- la solution de départ est appelée solution mère.
- la solution diluée obtenue est appelée fille.
La concentration molaire Cfille de la solution-fille est toujours inferieur à la concentration molaire Cmère de solution-mère
-
2.3. la relation de dilution :
Lors d’une dilution, il y a conservation de la quantité de matière dissoute nfille=nmère , ce qui se traduit par la relation entre les concentrations Cfille , Cmère et les volumes Vmère, volume de solution-mère prélevé et Vfille volume de solution fille fabriquée ;

-
3.3. Protocole d’une préparation de solution par dilution :
* Introduire la solution mère dans un bécher. Prélever à l'aide d'une pipette jaugée, rincée et de volume préalablement calculé, la solution mère.
* Verser la solution mère prélevée dans une fiole jaugée de volume adapté
* Compléter la fiole jaugée avec de l'eau distillée jusqu'au trait de jauge et agiter en retournant complètement la fiole jaugée pour homogénéiser la solution.

-