تفاعلات الأسترة و الحلمأة

Réactions d'estérification et d'hydrolyse

  1. 1. تفاعل الاسترة :

    • 1.1. تعريف :

      تفاعل الاسترة هو تفاعل يحدث بين حمض كربوكسيلي وكحول خلاله يفقد الحمض الكربوكسيلي المجموعة (-OH) اما الكحول فيفقد (-H) وبذلك تتحد الجزيئتان لاعطاء استير و جزيئة الماء وفق المعادلة التالية :

    • 1.2. مميزات تفاعل الاسترة :

      تفاعل لاحـــــراري : اي ان المجموعة لا تتبادل الحرارة مع الوسط الخارجي

      تفاعل بطـــــــــــيء: يستلزم وقت طويل للوصول الى حـــــــــــــــده (ساعات .... )

      تفاعل محـــــــــدود : يصل الى النهاية مع تواجد المتفاعلات معــــــــــــــــــــا

  2. 2. تفاعل الحلمأة

    • 2.1. تعريف :

      - هو تفاعل يحدث بين الاستير و الماء اي في المنحى المعاكس لتفاعل الاسترة وفق المعادلة التالية

    • 2.2. مميزات تفاعل الحلمـــأة

      تفاعل لاحـــــراري : اي ان المجموعة لا تتبادل الحرارة مع الوسط الخارجي

      تفاعل بطـــــــــــيء: يستلزم وقت طويل للوصول الى حده

      تفاعل محـــــــــدود : يصل الى النهاية مع تواجد المتفاعلات معا

  3. 3. التوازن أسترة ــ حلمأة

    - إن تفاعلي الأسترة والحلمأة متزامنان ويحدثان في منحيين متعاكسين.

    - بصفة عامة نعبر عن التوازن أسترة ـ حلمأة بالمعادلة

    يلعب الماء دور متفاعل في الحلمأة و ناتج في الاسترة و ليس مذيبا اذن :

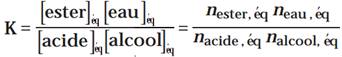
    - تعبير خارج التفاعل لتفاعل الاسترة

    - تابتة التوازن لتفاعل الاسترة تعبير

    عند انطلاق من خليط متساوي المولات n0 من الحمض و n0 من الكحول فأننا عند التوازن نحصل على كمية مادة الاستير حسب نوع الكحول المستعمل

    كحول اولي 1, كحول ثانوي 2, كحول ثالثي 3

  4. 4. التحكم في تحول كيميائي

    قصد الوصول الى الحالة النهائية في مدة اقل لابد من رفع سرعة تطور المجموعة الكيميائية

    • 4.1. برفع درجة الحرارة

      يؤدي ارتفاع درجة حرارة المجموعة الكيميائية الى تسريع تطورها

    • 4.2. باضافة الحفاز :

      الحفاز نوع كيميائي يرفع من سرعة التفاعل دون أن يتدخل في معادلة التفاعل

      يؤدي وجود الحفاز الى تسريع تطور المجموعة الكيميائية

  5. 5. مردود تحول كيميائي

    • 5.1. تعريف المردود

      يساوي المردود r لتفاعل كيميائي، خارج كمية المادة nexp المحصلة تجريبيا على كمية المادة nth المنتظر الحصول عليها باعتبار التحول كلي، ونكتب r= ومعرفة قيمته تمكن من تقيم فعالية التحول.

    • 5.2. بعض طرق رفع المردود

      للرفع من مردود تصنيع الاستير مثلا نقوم :

      - باستعمال احد المتفاعلات (حمض او كحول ) بوفرة

      - ازالة احد النواتج (الماء او الاستير المتكون) حيث نمنع التحول في المنحى المعاكس

Retour à la page d'accueil