النوى – الكتلة و الطاقة
-
1. Énergie :
-
1.1. Unité de masse atomique :
L'unité de masse atomique est: 1/12 de la masse d'un atome de carbone

Autrement dit, pour un atome
* 1µ=
*
-
1.2. L'unité électron-volt :
En physique nucléaire, l'électron volt est utilisé comme unité d'énergie au lieu d'un joule (J).
1eV=1,602177.10-19J 1MeV=1,602177.10-13J
-
1.3. Énergie équivalente à l'unité de masse atomique:
Équivalence «masse-énergie» d'Einstein: Chaque groupe a une masse m, à l'état de repos, une énergie E appelée énergie de masse:

tel que :
: la vitesse de la lumière (célérité).Selon la relation d'Einstein, l'équivalent énergétique

-
-
2. Energie de liaison :
-
2.1. Défaut de masse :
Nous appelons Défaut de masse
Pour un noyau
La différence entre la somme des masses des nucléons et la masse de ce noyau. 
avec :

NB: "La masse du noyau est toujours inférieure à la somme des masses de ses noyaux constitutifs."
-
2.2. Énergie de liaison :

Nous appelons l'énergie de liaison
d'un noyau
, L'énergie qui doit être donnée au noyau dans un état stable pour séparer ses noyaux et qu'il reste dans l'état de repos.
NB : Quand la masse du groupe change par le quantité
, Ce changement s'accompagne d'un changement d'énergie
.*
La masse de le groupe diminue (au repos) alors
: Le groupe perd de l'énergie . -
2.2. Énergie de liaison par nucléon:
on définit l'énergie de liaison par nucléon avec l'equation :

son unité est : MeV/ nucléon
tel que El est Energie de liaison de noyau
et A est le nombres de nucléons.NB: l'inportance de l'énergie de liaison par nucléon:
elle donne une idée sur la stabilité des noyaux : plus l'énergie par nucléon est élevée plus le noyau est stable
Selon la courbe
Il est utilisé pour comparer la stabilité de différents noyaux. Sur l'intervalle
:
, Cette région comprend les noyaux les plus stables Sur l'intervalle
et
:
Très faible c'est-à-dire que ces noyaux ne sont pas stable et à transformer en plus de noyaux plus stables, selon deux types de transformations: -
Les noyaux légers se combinent pour donner plus de noyaux. -
Noyau lourd se divisant en deux noyaux légers. Remarque: ce sont deux réactions excitées.
-
-
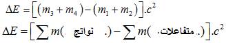
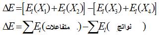
3. Bilan , La masse et l'énergie d'une réaction nucléaire :
Considérez l'équation de réaction:
Cette réaction se traduit par un changement d'énergie exprimé :
En termes d'énergie de liaison des noyaux
En termes de masses de noyau
-
4. Influence biologique de la radioactivité :
Le rayonnement nucléaire a un effet sur le corps humain en fonction de sa nature et de la quantité absorbée par le corps.
• Le rayonnement
, pénètre difficilement le matériau, car un morceau de papier suffit à l'arrêter, et il provoque des brûlures superficielles sur la peau. • Le rayonnement
, plus perméable que
, quelques millimètres d'aluminium l'arrête.
La radiation
est utilisée pour traiter les cellules cancéreuses. • Le rayonnement
est très perméable, quelques centimètres de plomb l'arrêtent. Utilisé pour diagnostiquer les maladies avec des images. - Les radiations nucléaires sont utilisées en médecine en très petites quantités comme élément d'hospitalisation, de diagnostic ou de traitement de maladies
Comment le rayonnement nucléaire affecte-t-il les humains?
Les radiations nucléaires de haute énergie interagissent avec la matière formant le corps; Il peut extraire les électrons des atomes dans les cellules de certains organes, provoquant des distorsions biochimiques.